27. 商品价格#
27.1. 大纲#
商品的例子包括铜、钻石、铁矿石、锂、棉花和咖啡豆。
本讲将介绍商品价格理论。
相比本系列的其他讲座,这一讲内容较为高级。
我们需要计算一个由价格函数描述的均衡。
我们将解一个方程,其中价格函数是未知量。
这比解一个未知数或向量的方程要难得多。
本讲将讨论一种解函数方程的方法,这类方程的未知对象是函数。
本讲需要使用yfinance库。
!pip install yfinance
我们将使用以下导入
import numpy as np
import yfinance as yf
import matplotlib.pyplot as plt
from scipy.interpolate import interp1d
from scipy.optimize import brentq
from scipy.stats import beta
import matplotlib as mpl
FONTPATH = "fonts/SourceHanSerifSC-SemiBold.otf"
mpl.font_manager.fontManager.addfont(FONTPATH)
plt.rcParams['font.family'] = ['Source Han Serif SC']
27.2. 数据#
下图显示了自 2016 年初以来以美元计价的棉花价格。
该图显示了棉花价格的巨大波动,令人惊讶。
是什么导致了这些波动?
一般来说,价格取决于以下各方的选择和行为:
供应商,
消费者,以及
投机者。
我们的重点将是这些方之间的互动。
我们将通过一个动态的供需模型将它们联系在一起,称为 竞争性储存模型。
该模型由 [Samuelson, 1971]、[Wright and Williams, 1982]、[Scheinkman and Schechtman, 1983]、[Deaton and Laroque, 1992]、[Deaton and Laroque, 1996] 和 [Chambers and Bailey, 1996] 开发。
27.3. 竞争性储存模型#
在竞争性储存模型中,商品被视为一种资产。这些商品具有两个特点:
可以被投机者交易,并且
对消费者有内在价值。
总需求是消费者需求和投机者需求的总和。
供应是外生的,取决于“收成”。
Note
如今,基本的计算机芯片和集成电路等高度标准化的产品,在金融市场上也被视为商品。对这类商品来说,”收成”一词并不太恰当。
不过为了简化问题,我们还是沿用这个术语。
均衡价格是通过竞争决定的。
它是当前状态的一个函数(决定当前的收成并预测未来的收成)。
27.4. 模型#
考虑一个单一商品的市场,其价格在时间 \(t\) 为 \(p_t\)。
该商品在时间 \(t\) 的收成为 \(Z_t\)。
我们假设序列 \(\{ Z_t \}_{t \geq 1}\) 是独立同分布(IID)的,具有共同的密度函数 \(\phi\),其中 \(\phi\) 为非负。
投机者可以在各期之间储存该商品,当前期购买的 \(I_t\) 单位在下一期将产生 \(\alpha I_t\) 单位。
这里的参数 \(\alpha \in (0,1)\) 是该商品的贬值率。
为了简化问题,风险自由利率取为零,因此购买 \(I_t\) 单位的预期利润为
其中 \(\mathbb{E}_t \, p_{t+1}\) 是在时间 \(t\) 对 \(p_{t+1}\) 的期望。
27.5. 均衡#
在本节中,我们定义均衡并讨论如何计算它。
27.5.1. 均衡条件#
假设投机者是风险中性的,这意味着他们在预期利润为正时会购买商品。
因此,如果预期利润为正,则市场不处于均衡状态。
所以要达到均衡,价格必须满足“无套利”条件:
这表明当预期价格低于当前价格时,就不存在套利空间。
利润最大化给出了额外条件:
我们还要求市场出清,即每期供应等于需求。
假设消费者根据价格 \(p\) 产生需求量 \(D(p)\)。
令 \(P := D^{-1}\) 为逆需求函数。
关于数量:
供应是投机者的持有量和当前收成的总和,并且
需求是消费者购买和投机者购买的总和。
用数学语言表述:
供应由 \(X_t = \alpha I_{t-1} + Z_t\) 给出,取值在 \(S := \mathbb R_+\) 中。
需求为 \(D(p_t) + I_t\)。
因此,市场均衡条件为:
初始条件 \(X_0 \in S\) 为给定值。
27.5.2. 一个均衡函数#
如何找到均衡呢?
我们的思路是寻找一个只依赖当前状态的价格系统。
(我们的解法使用了 拟设(ansatz),这是一种基于推测的猜想——在这里是对价格函数的猜想。)
具体来说,我们在 \(S\) 上取一个函数 \(p\),对每个 \(t\) 令 \(p_t = p(X_t)\)。
价格和数量随后满足:
我们选择 \(p\) 使这些价格和数量满足上述均衡条件。
更准确地说,我们要找一个 \(p\),使得 (27.1) 和 (27.2) 对应的系统 (27.4) 成立。
其中
事实证明,这样的 \(p^*\) 是充分的,因为它满足 (27.1) 和 (27.2) 对应的系统 (27.4)。
要理解这一点,我们首先注意到:
因此,条件 (27.1) 要求:
这个不等式直接来自 (27.5)。
其次,对于 (27.2),假设:
那么根据 (27.5),我们得到 \(p^*(X_t) = P(X_t)\)。
此时有 \(D(p^*(X_t)) = X_t\),并且 \(I_t = I(X_t) = 0\)。
我们找到了一个均衡,验证了 ansatz。
27.5.3. 计算均衡#
现在我们知道,均衡可以通过找到一个满足 (27.5) 的函数 \(p^*\) 来获得。
在温和的条件下,可以证明在 \(S\) 上恰好存在一个满足 (27.5) 的函数。
此外,我们可以通过逐次逼近来计算这个函数。
具体来说,我们从一个初始函数猜测开始,然后使用 (27.5) 来更新它。
这会生成一系列函数 \(p_1, p_2, \ldots\)。
我们继续这个过程,直到它收敛,即 \(p_k\) 和 \(p_{k+1}\) 非常接近。
然后,我们将最终计算得到的 \(p_k\) 作为 \(p^*\) 的近似值。
为了实现更新步骤,将 (27.5) 和 (27.6) 结合起来是很有帮助的。
这给出了更新规则:
换句话说,我们将 \(p_k\) 视为给定,并在每个 \(x\) 处求解 \(q\)
实际上,我们无法对每个 \(x\) 进行这样的计算,所以我们选择一系列离散点 \(x_1, \ldots, x_n\) 来进行计算。
对这些点,我们可以得到相应的值 \(q_1, \ldots, q_n\)。
然后,我们在网格点 \(x_1, \ldots, x_n\) 上对这些值 \(q_1, \ldots, q_n\) 进行线性插值,从而得到 \(p_{k+1}\)。
我们不断重复这个过程,直到结果收敛。
27.6. 代码#
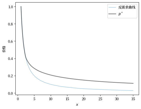
下面的代码实现了这个迭代过程。我们从 \(p_0 = P\) 开始。
我们选择一个偏移的贝塔分布作为分布 \(\phi\)(当然也可以选择其他分布)。
(27.8) 中的积分通过 Monte Carlo 方法来计算。
α, a, c = 0.8, 1.0, 2.0
beta_a, beta_b = 5, 5
mc_draw_size = 250
gridsize = 150
grid_max = 35
grid = np.linspace(a, grid_max, gridsize)
beta_dist = beta(5, 5)
Z = a + beta_dist.rvs(mc_draw_size) * c # 随机冲击的观测值
D = P = lambda x: 1.0 / x
tol = 1e-4
def T(p_array):
new_p = np.empty_like(p_array)
# 插值以获得p 作为函数。
p = interp1d(grid,
p_array,
fill_value=(p_array[0], p_array[-1]),
bounds_error=False)
# 更新
for i, x in enumerate(grid):
h = lambda q: q - max(α * np.mean(p(α * (x - D(q)) + Z)), P(x))
new_p[i] = brentq(h, 1e-8, 100)
return new_p
fig, ax = plt.subplots()
price = P(grid)
ax.plot(grid, price, alpha=0.5, lw=1, label="反需求曲线")
error = tol + 1
while error > tol:
new_price = T(price)
error = max(np.abs(new_price - price))
price = new_price
ax.plot(grid, price, 'k-', alpha=0.5, lw=2, label=r'$p^*$')
ax.legend()
ax.set_xlabel('$x$')
ax.set_ylabel("价格")
plt.show()
上图显示了逆需求曲线 \(P\),也就是 \(p_0\),以及我们对 \(p^*\) 的近似。
一旦我们得到了 \(p^*\) 的近似值,就可以模拟价格的时间序列。
# 将价格数组转化为价格函数。
p_star = interp1d(grid,
price,
fill_value=(price[0], price[-1]),
bounds_error=False)
def carry_over(x):
return α * (x - D(p_star(x)))
def generate_cp_ts(init=1, n=50):
X = np.empty(n)
X[0] = init
for t in range(n-1):
Z = a + c * beta_dist.rvs()
X[t+1] = carry_over(X[t]) + Z
return p_star(X)
fig, ax = plt.subplots()
ax.plot(generate_cp_ts(), label="价格")
ax.set_xlabel("时间")
ax.legend()
plt.show()


